Investors have different objectives and strategies when they enter the stock market. Few investors want a constant income while others want four times more gain on their investment. Investors often factor in tax implications when making investment decisions, which can significantly influence stock prices.
Investors’ preference over other things can have a significant impact on the stock price because after all what drives stock prices is investor perception.
Different economists and professors proposed different dividend theories based on how investors perceive dividends as returns from stocks. One of these theories is the bird in hand theory.
This article defines what bird in hand means, provides its formula plus gives examples where this principle has been applied within share markets.
What is the definition of bird in hand
The “Bird in Hand” theory is an investment strategy that suggests investors prefer dividends from stock investing to potential capital gains due to the inherent uncertainty associated with capital gains. This theory is based on the adage, “a bird in the hand is worth two in the bush,” implying that investors prefer the certainty of dividend payments to the possibility of substantially higher future capital gains.
This theory was developed by Myron Gordon and John Lintner as a counterpoint to the Modigliani-Miller dividend irrelevance theory, which maintains that investors are indifferent to whether their returns from owning a stock come from dividends or capital gains.
According to the Bird in Hand theory, stocks with high dividend payouts are sought by investors and, consequently, command a higher market price.
Formula of bird in hand
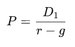
The Bird in Hand theory is often linked with the Gordon Growth Model, a formula used to determine the intrinsic value of a stock that is expected to have growing dividends The formula is:
Intrinsic stock value = Annual dividend per share for year 1 / ( expected annual return on investment – expected dividend growth)
In this formula:
- Dividend per share for the first year is the dividend expected to be paid out per share in the first year.
- Anticipated annual return is the return the investor expects to receive from the investment each year.
- Anticipated dividend growth rate is the rate at which the dividend is expected to grow each year by the investor.
This formula assists investors in assessing a stock’s value based on its dividend payouts and their expectations for the stock’s future performance. It’s crucial to note that this formula presumes the dividend growth rate is constant and less than the required rate of return.
Bird in hand theory assumptions
The Bird in Hand theory makes several assumptions:
- The firm should have equity only, or it must not have any debt.
- The only source of finance available to the firm should be its retained earnings.
- The company should maintain a consistent retention ratio.
- The growth rate of earnings must be constant.
- External financing is unavailable, so the company can finance expansion and development only by retaining its earnings.
- The firm is not subject to corporate income tax.
These assumptions are critical to the theory’s conclusions about investor preferences for dividends over capital gains. However, they may not hold in all real-world scenarios, which is a limitation of the theory.
Example of bird in hand
Here are some examples of companies that align with the bird in hand principle:
- Coca-Cola (KO): Coca-Cola has been consistently paying dividends since the 1920s and has increased its dividend payment every year since 1964. This consistent and increasing dividend payout makes Coca-Cola a preferred choice for investors who subscribe to the Bird in Hand theory.
- McDonald’s (MCD): McDonald’s started paying dividends in 1976 and has raised its dividend each year since then. This makes McDonald’s another good example of a company that fits the Bird in Hand theory.
- PepsiCo (PEP): PepsiCo is another example of a company that aligns with the Bird in Hand theory. The company is known for its regular and increasing dividend payouts.
These companies are favored by investors who believe in the Bird in Hand theory because they offer regular and increasing dividends, providing a certain return to investors.
Advantages of bird in hand
The Bird in Hand theory has several advantages:
1. Emphasis on dividend-paying stocks
The Bird in Hand theory emphasizes investing in dividend-paying stocks. This approach is beneficial as it provides a regular income stream to investors.
Unlike capital gains, which are uncertain and depend on market fluctuations, dividends are usually more stable and predictable.
Therefore, by focusing on dividend-paying stocks, you can enjoy a more secure and consistent return on your investments.
2. Certainty of returns
As an investor, you appreciate the certainty of returns. The Bird in Hand theory aligns with this preference as dividends are generally more certain and safer than capital gains.
Capital gains are subject to market volatility and are therefore less predictable.
By investing in dividend-paying stocks, as suggested by the Bird in Hand dividend theory, you reduce your risk exposure, providing a safer and more predictable investment strategy.
3. Regular income
The Bird in Hand theory offers you the advantage of regular income. Dividends are paid out at consistent intervals, providing a steady cash flow.
This can be particularly beneficial if you rely on your investments for a portion of your regular income. It’s like having a paycheck that you can count on, which can bring financial stability and peace of mind.
4. Estimation of returns
With the Bird in Hand theory, you have the advantage of estimating your returns. This is because the amount of dividend a company will pay out can be predicted, unlike capital gains which are subject to market fluctuations and harder to forecast.
This allows you to plan your financial future with more certainty and confidence, knowing what returns to expect from your investments.
5. Trustworthy source of income
In certain unfavorable instances, when the entire market suffers from losses, dividend income is a more trustworthy source of income against capital gain.
This means that even in a downturn, you can still expect to receive your dividend income, making it a trustworthy source of returns.
Conclusion
The bird In hand theory suggests that you, as an investor, might prefer the certainty of dividends over the uncertainty of future capital gains. It’s like having a bird in your hand, which is certain, rather than two in the bush, which are uncertain.
However, every investment strategy has its pros and cons, and it’s essential to understand them before making a decision. To learn more about such investment theories and strategies, you might find the StockGro platform helpful. It offers a wealth of information and learning resources on the stock market.
FAQs
The Bird In Hand Theory was first proposed by Myron Gordon and Eli Shapiro in 1956.
According to the Bird In Hand Theory, investors might choose stocks that offer regular dividends because they value the certainty of dividend payments over the potential of capital gains.
The Bird In Hand Theory aligns with risk management by suggesting that investors prefer the certainty of dividends (less risky) over the uncertainty of future capital gains (more risky).
While the Bird In Hand Theory might appeal to risk-averse investors who prefer the certainty of dividends, it might not be as appealing to risk-tolerant investors who are willing to take on more risk for the potential of higher capital gains.
One of the criticisms of the Bird In Hand Theory is that dividend policy does not affect an organization’s cost of capital. Another criticism is that in some tax systems, dividends are taxed at a higher rate than capital gains, which could make capital gains more attractive to investors.
The Bird-in-Hand Theory was proposed by Myron Gordon and John Lintner. The theory suggests that investors prefer certain dividend income today rather than uncertain future capital gains.
The Bird-in-Hand Theory states that investors value companies that pay regular dividends because dividends provide a guaranteed return, while future stock price gains are uncertain. According to the theory, firms that pay higher dividends may have higher stock valuations.
The Bird-in-Hand argument explains that investors prefer the certainty of dividends today over the possibility of higher but uncertain future returns. This idea is based on the phrase “a bird in the hand is worth two in the bush,” meaning guaranteed returns are more valuable than uncertain gains.
The Gordon Growth Model (GGM) is used to calculate the intrinsic value of a stock based on its expected future dividends. 
Where:
P = Price of the stock
D₁ = Expected dividend per share next year
r = Required rate of return
g = Constant dividend growth rate